![]() 课题组研究历程分享之一 —— 糖聚合物自组装:从非共价键合胶束到模拟糖萼组装体 自2009年起,课题组开始将聚合物非共价键连接胶束(NCCM)这一新世纪以来的标志性研究思路,拓展延伸至糖科学交叉领域,利用糖与苯硼酸(及其衍生物)之间的动态共价键,进行糖基聚合物自组装的系列研究,从模拟细胞表面糖萼结构出发,逐步探索其在免疫调控、肿瘤免疫治疗等领域的潜在价值。 而我们研究的核心科学问题,最初便聚焦于:人工合成的糖聚合物能否模拟天然细胞表面糖萼的功能,在保留生物活性的同时,实现物理化学性质的可设计与精准调控。我们采用文献中所报道的苯硼酸及其衍生物,利用苯硼酸中的硼原子作为路易斯酸,可与糖环上相邻的顺式羟基或是伯羟基形成五元或六元环状内酯,这种硼酸酯键在中性、碱性条件下稳定存在,在酸性条件下快速解离,兼具共价键的稳定性与非共价键的动态性,成为我们构建糖基组装体的理想“分子纽带”。 基于此,我们通过RAFT聚合制备了端基为苯硼酸的温敏性聚(N-异丙基丙烯酰胺)(PNIPAm)均聚物;而在糖聚合物的合成上,我们没有采用文献较为常见的多糖、或是制备简便但存在生物活性局限的糖聚合物合成路线,通过多步合成获得由单一β-糖苷键连接的葡萄糖、半乳糖单体,经RAFT聚合得到结构规整的含糖均聚物(PGal、PGlc)。
图1. 模拟细胞糖萼的糖涂层囊泡(PV-Gx)用于溶液中糖-蛋白特异性相互作用研究 将两种糖聚合物与苯硼酸端基的PNIPAm在碱性水溶液中混合,二者通过动态共价键自组装形成以糖聚合物为主链、PNIPAm为侧链的接枝共聚物;利用PNIPAM的温敏性,升温至其低临界溶解温度(LCST,33 ℃)以上,复合物进一步自组装形成中空囊泡(PV-Gx)。通过动态/静态光散射与TEM表征,测得V-PGal的水合半径约62 nm、V-PGlc约68 nm,通过动、静态光散射测得组装体的<Rg>/<Rh>值达0.97,结合TEM表征,证实其为以糖聚合物为外壁的中空囊泡结构。这一囊泡结构可模拟细胞表面糖萼的核心特征,为研究糖-蛋白特异性相互作用提供了理想的仿生模型。为精准验证组装体表面糖的生物活性,我们采用对聚集更敏感的动态光散射(DLS)为表征手段,将表面含β-半乳糖(V-PGal)、β-葡萄糖(V-PGlc)的囊泡与伴刀豆球蛋白(ConA)、花生凝集素(PNA)、鸡冠凝集素(ECA)共孵育,实验发现,仅V-PGal能与PNA、ECA发生特异性相互作用形成聚集体:当PNA浓度达0.05 mg/mL时,V-PGal出现约640 nm的聚集体峰,浓度升至0.2 mg/mL时囊泡完全聚集;ECA诱导聚集的临界浓度为0.15 mg/mL,而ConA与V-PGal、三种凝集素与V-PGlc均无明显相互作用。这与天然糖-蛋白的结合规律高度一致。相关研究工作由苏璐等人完成,该研究成果发表于Polym. Chem., 2012, 3, 1560 (DOI:10.1039/c2py20110k)。 此后我们开始思考如何优化上述组装体系。前面使用的苯硼酸只能在碱性条件下和糖形成动态共价键,我们希望该作用能够在中性pH条件下发生,这样能够适用于后续的生物应用。因此,我们引入了邻羟基苯硼酸半酯(BOB),该半酯具有独特的五元环结构,更重要的是其pKa低至7.2,使得聚合物能在中性生理环境下高效结合糖分子,从而可能实现生理条件下的组装调控。在此基础上,我们系统研究了糖单元结构对材料性能的影响。通过对比甘露糖、半乳糖和葡萄糖的单元,发现糖的立体构型直接决定了凝胶的流变学性能。
图2. 糖立体异构调控的动态共价键交联糖基水凝胶 为了探究糖的立体异构效应对动态共价键驱动组装的影响。我们合成了主链结构相同、仅侧链糖单元(甘露糖Man、半乳糖Gal、葡萄糖Glc)为立体异构体的三种糖聚合物(PMan、PGal、PGlc),并与含邻羟基苯硼酸半酯(BOB,苯硼酸衍生物)的PNIPAm共聚物(PBOB)通过动态共价键构建水凝胶。
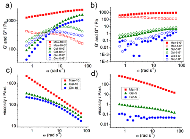
图3. 20 ℃下,Man-10、Gal-10、Glc-10的储能模量(G')、损耗模量(G)(a) 和黏度 (c) 以及Man-5、Gal-5、Glc-5的储能模量(G')、损耗模量(G)(b) 和粘度 (d) 随角频率(ω)的变化关系(应变1%) 流变学测试显示,三种糖聚合物的成胶能力呈现Man>Gal>Glc的明确规律(样品名称中的数字代表固含量,如-10 表示 10 wt%):Man-10水凝胶的弹性模量(G')可达103Pa,远高于Gal-10和Glc-10,且在1%低固含量下仍能稳定成胶,而Gal和Glc基水凝胶在5%固含量下才成型。频率扫描实验中,Man-10在全频率范围内保持G'>G''的固体特征,而Gal-10与Glc-10在低频率区呈现G''>G'的液体特征,仅在高频区表现出胶凝特性。 表1. PMan、PGal和PGlc与BOB的可能结合模式
荧光实验与FRET测试进一步证实,这种差异源于糖与BOB的结合能力差异——PMan可通过顺式2,3-二醇与4,6-二醇两种模式同时结合BOB,而PGal仅能通过两种模式择一结合,PGlc则仅有单一结合模式,更多的结合位点使PMan与BOB的相互作用更高效、更稳定。此外,这些水凝胶均具有pH响应性,且Gal-10、Glc-10可被高浓度葡萄糖诱导凝胶-溶胶转变,而Man-10仅对果糖响应,这种糖依赖性响应特性为其在生物医学领域的精准应用提供了可能。相关研究工作由林铭昌等人完成,该成果发表在Chem. Commun., 2014, 50, 9779. (DOI:10.1039/c4cc04735d)。 掌握了结构-性能关系后,我们不满足于静态结构,开始探索动态过程。我们设计了双响应的嵌段共聚物,通过控制pH和温度的顺序,实现了胶束的‘核壳反转’。这不仅是高分子物理化学上的一个有趣现象,更是展示了我们对纳米载体‘变形’过程所具备的操控能力。
图4.多响应性嵌段共聚物PNIPAm-b-PBOB胶束的直接与间接核壳反转 为深入探究胶束核壳反转的可控路径及其内在机理,我们设计并合成了含有邻羟甲基苯硼酸半酯结构的单体,并通过RAFT聚合制备了PNIPAm-b-PBob嵌段共聚物。其中,PBob嵌段带有糖响应性的邻羟基苯硼酸基团,该基团在生理条件下可与糖类分子作用,从而由疏水状态转变为亲水状态;而PNIPAm嵌段则具有温敏特性,可实现“亲水—疏水”的可逆转变。基于PBob嵌段在中性条件下的疏水性,我们首先构建了以PNIPAm为壳、PBob为核的正相胶束。针对这一体系,我们重点探讨了如何利用PBob嵌段的pH及糖响应特性来实现并调控胶束的反转过程。借助PBob嵌段的pH响应性,将胶束溶液调至碱性条件可使其解离为单链状态;其中,间接反转路径经历了“先解离、后聚集”的过程,而直接反转路径则表现为不解离的原位反转。
图5. (a) pH 7.4 条件下M-BOB及解离单体的粒径分布,以及pH 11条件下解离单体的粒径分布;(b) pH 11 条件下,50 °C 时反向胶束与 25 °C 时单体的粒径分布 这一路径差异通过动态光散射(DLS)实验得到了明确验证:在间接反转过程中,当pH调节至11.0时,胶束的流体力学半径<Rh>由初始的73 nm降至5 nm,该尺寸对应单链高分子的特征粒径,表明胶束已完全解离;随后升温至50 ℃诱导自组装,流体力学半径恢复至73 nm,形成反转胶束。
图6. 多响应性嵌段共聚物PNIPAm-b-PBOB胶束的间接核壳反转示意图
图7. (a) 从状态I-III开始加热过程中散射光强的演变。(b) M-BOB胶束在室温下pH 7.4 PBS缓冲液中形成的TEM图像(比例尺200 nm)。(c) 通过状态II形成的反转胶束的TEM图像。(d) 原位胶束反转的示意图。 我们利用PBOB嵌段与果糖在中性条件下的缓慢作用,首次实现了胶束的“直接反转”。向M-BOB胶束溶液中加入果糖后,散射光强呈现长达约5天的持续下降过程,最终降至极低值,DLS测得流体力学半径降至8 nm,表明胶束最终解离为单链。基于这一缓慢的溶胀过程,我们设计了“程序升温”策略:当胶束在25 °C下与果糖预作用6小时,然后开始缓慢升温(每2 °C/min,保温30分钟)。在此过程中,DLS全程未检测到5 nm的单链特征峰,散射光强基本保持稳定。
图8. M-BOB的¹H NMR峰相对强度(归一化至25 °C时1.05 ppm处的强度)。(a) 黑:PBOB苯基的积分面积,红:PNIPAm的CH(CH3)2的积分面积。 如图8,变温核磁监测显示,随着温度从25 °C升至50 °C,PNIPAm嵌段异丙基(1.05 ppm)的积分面积逐渐减小,而PBOB嵌段苯环(6.3-7.5 ppm)的积分面积逐渐增大,两者积分面积比在35°C后持续增加,证实了核壳位置发生了互换。TEM显示,升温前后胶束均保持直径约30 nm的球形形貌。这表明,当胶束核达到适当溶胀程度后,升温诱导的PNIPAm嵌段疏水塌缩向内迁移的速度,与因结合果糖而逐渐亲水的PBOB嵌段向外迁移的速度相匹配,最终实现了胶束核壳的原位互换,即“原位直接反转”。若在糖作用2小时(溶胀程度较低)后升温,则观察到伴随胶束融合的反转过程;若在糖作用250小时(完全解离)后升温,则再次经历解离-重组的间接反转路径。 本研究由林铭昌等人完成,相关成果已发表于 Polym. Chem. 2014,5,234(DOI:10.1039/c3py00944k)。该工作首次在同一嵌段共聚物体系中实现了多种核壳反转路径的可控调控。 基于上述对胶束核壳反转路径及其动力学调控机制,我们认识到:BOB-糖动态共价键的可逆性不仅赋予嵌段共聚物胶束多重响应行为,更关键的是,其在中性pH下稳定、弱酸性条件下选择性断裂的特性。受此启发,我们不再局限于胶束结构的形貌反转调控,而是将这一动态键作为核心构筑单元,拓展至功能化纳米载体的设计与生物应用。
图9. 酸响应仿糖萼超分子糖纳米颗粒用于抗原可控递送与免疫原性增强。 为此,我们以PBOB为动态交联点,与侧链含甘露糖或半乳糖的糖聚合物PMan/PGal在水相中通过BOB-糖动态共价键驱动自组装,构建了表面糖配体富集、内部动态交联的含糖纳米粒子(glyco-NPs)。该体系继承了BOB-糖作用在中性条件下稳定、酸性条件下解离的核心特征。更重要的是,通过分别给PBOB和糖聚合物标记FRET给体(NBD)与受体(RhB),我们首次实现了对纳米粒子在活细胞内解离过程的原位、实时可视化追踪。
图10. 负载REF1、M-Gal、M-Man和REF2样本的DC2.4细胞共聚焦荧光显微镜图像。第一行:细胞中的颜色代表FRET比值,如色标所示;第二行:明场下的细胞图像(比例尺:10 μm);第三行:区域内检测到的FRET诱导荧光。激发波长:488 nm,发射光谱范围:500–650 nm。 共聚焦成像表明,M-Man与M-Gal均通过受体介导内吞进入树突状细胞(DC2.4)的早期内体、晚期内体及溶酶体等酸性细胞器,绿色荧光与细胞器红色探针高度共定位。为了精确量化纳米粒子在细胞内的解离程度,我们设计了两组关键的对照样品。REF1是由两种嵌段共聚物(PNIPAm-co-NBD)-b-PBOB和(PNIPAm-co-RhB)-b-PBOB自组装形成的稳定胶束。由于亲疏水作用形成的胶束结构稳定,不受pH影响,其FRET比值在溶液中约为5.0,代表了完全缔合、最高FRET效率的状态。REF2是由N-PBOB与不含受体RhB的PGal形成的纳米粒子,完全不具有FRET效应,其FRET比值低于1.0,代表了完全解离、无FRET的状态。 细胞内FRET成像结果显示:M-Gal在DC内吞4 h后,显示为深蓝色,平均FRET比值(I587/I538)已降至约0.4,与无FRET效应的阴性对照REF2几乎完全一致,证明其在酸性细胞器中发生了几乎完全的解离。而M-Man显示为青色,FRET比值约为1.0,显著低于REF1但高于M-Gal,呈现出中等程度的FRET效率,证明其仅发生了部分解离。细胞内部选定区域(ROI,图中黑点处)的荧光光谱进一步证实了上述FRET比值的差异。这一差异与溶液pH滴定实验中M-Gal解离更彻底的规律高度吻合,也进一步印证了糖立体构型对动态共价键稳定性及纳米粒子胞内命运的调控作用。该工作将FRET引入响应性纳米载体胞内解离过程的可视化研究。相关研究工作由林铭昌及张宇飞等人完成,该成果已经发表在small 2015, 11, 45, 6065–6070(DOI:10.1002/smll.201501871)。 这段历程系统而深入地展示了课题组围绕糖聚合物自组装所开展的持续探索:从最初利用动态共价键构建仿糖萼囊泡,到通过引入低pKa硼酸配体实现生理条件下的可逆组装,再到揭示糖立体构型对材料性能的调控规律,并进一步将这种分子层面的差异放大至纳米载体在细胞内的动态行为。整个研究脉络清晰体现了从结构模拟到功能调控、从静态材料到动态过程的递进逻辑,不仅构建了系列具有响应性的糖基组装体,更深化了对糖-蛋白相互作用及其微环境响应行为的理解。 编辑:卞欣雨 |












